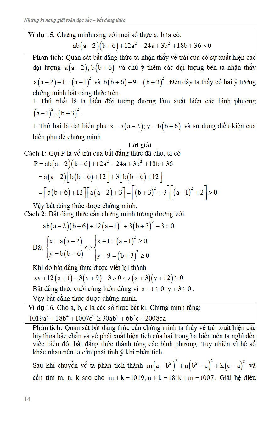
MSP : 8935092537092
Tác giả: Nguyễn Công Lợi - Đào Quốc Chung
Giá bìa : 269.000 đ
Giá bán : 161.400 đ
Tiết kiệm : 107.600 đ