Xem trước
Zoom
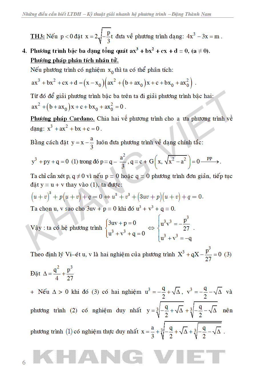
Những Điều Cần Biết  Luyện Thi Quốc Gia Kỹ Thuật Giải Nhanh Hệ Phương Trình

Những Điều Cần Biết Luyện Thi Quốc Gia Kỹ Thuật Giải Nhanh Hệ Phương Trình

MSP : 8935092530109

Tác giả: Đặng Thành Nam

Giá bìa : 279.000 đ

Giá bán : 167.000 đ

Tiết kiệm : 111.600 đ

Nhận thông báo khi có hàng
Bìa trước
Mục lục
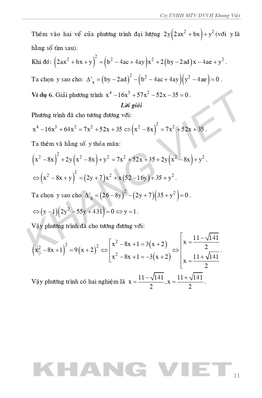
Trích đoạn 1
Trích đoạn 2
Trích đoạn 3
Trích đoạn 4
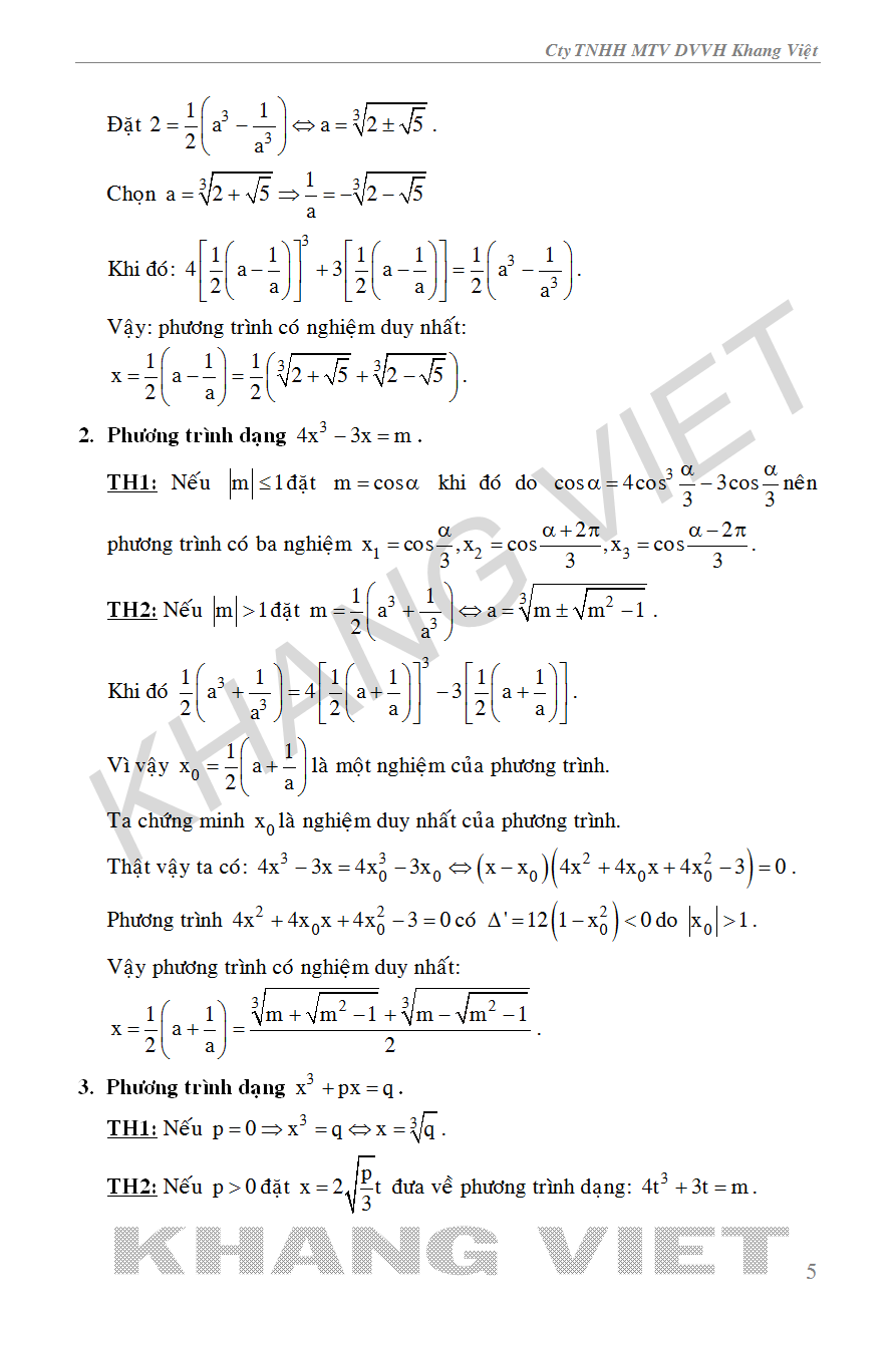
Trích đoạn 5
Trích đoạn 6
Trích đoạn 7
Trích đoạn 8
Trích đoạn 9
Trích đoạn 10
Trích đoạn 11
Bìa sau