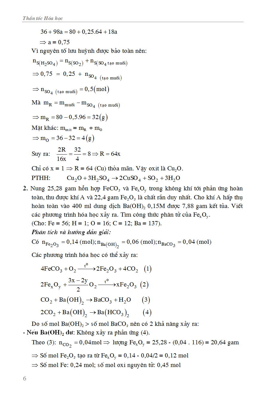
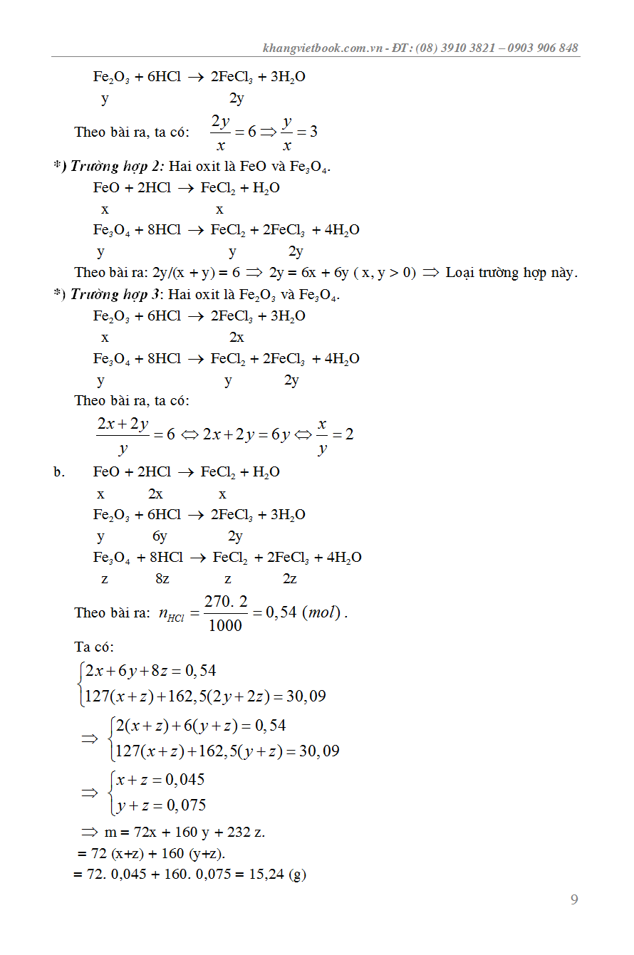
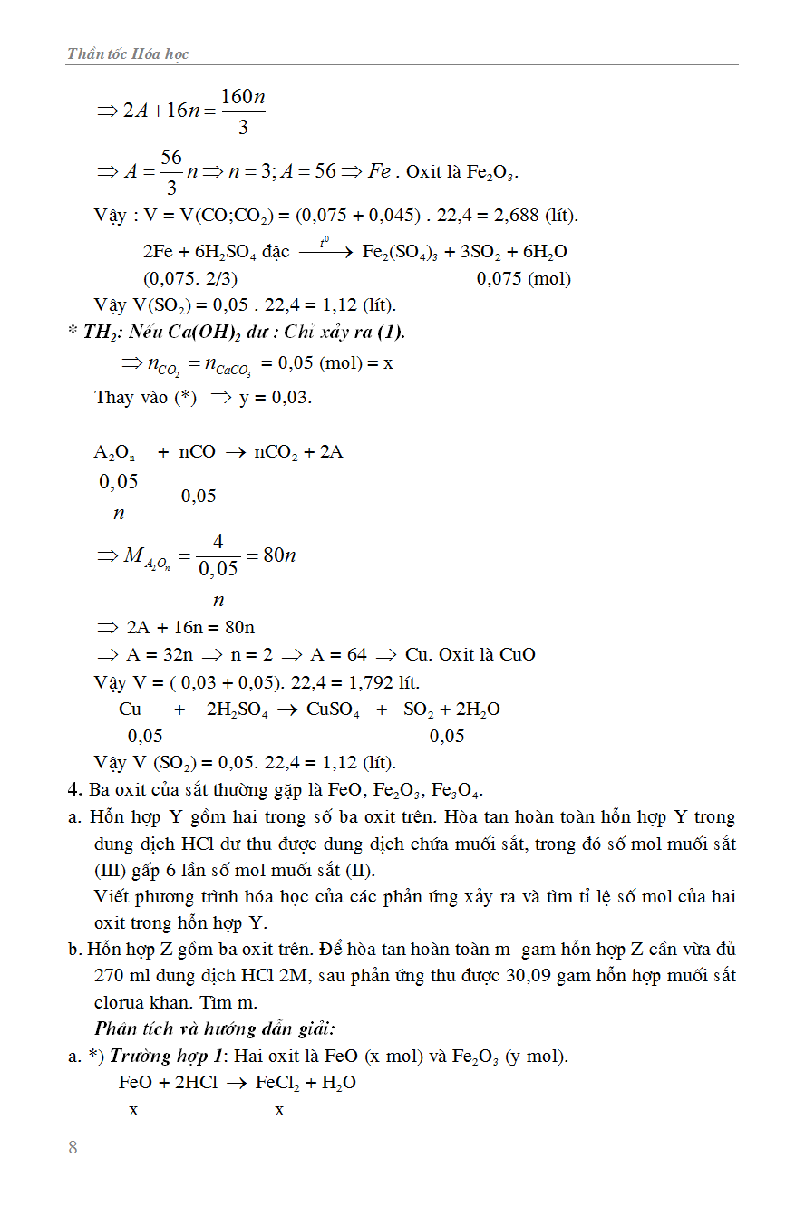
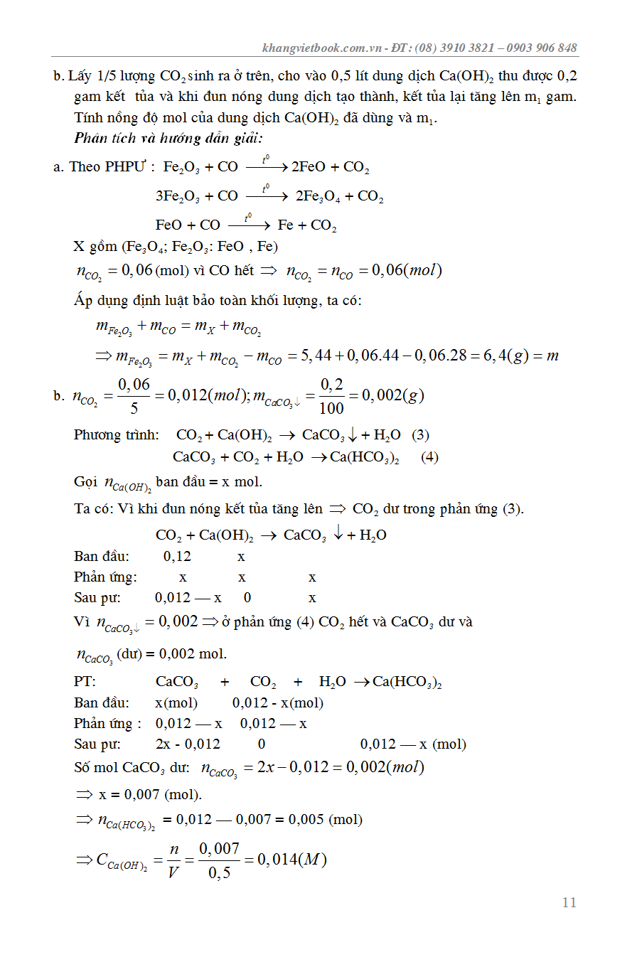
MSP : 8935092539201
Tác giả: Cù Thanh Toàn - Nguyễn Quốc Việt
Giá bìa : 124.000 đ
Giá bán : 74.400 đ
Tiết kiệm : 49.600 đ
MSP: 8935092544410
108.000 đ
64.800 đ
MSP: 8935092544403
MSP: 8935092544526
179.000 đ
107.400 đ
MSP: 8935092544533
168.000 đ
100.800 đ
MSP: 8935092539041
50.000 đ
30.000 đ
MSP: 8935092544373
MSP: 8935092531724
189.000 đ
113.400 đ