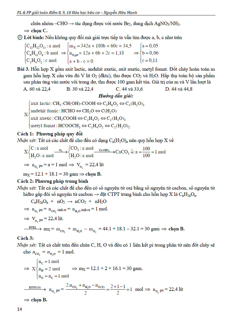
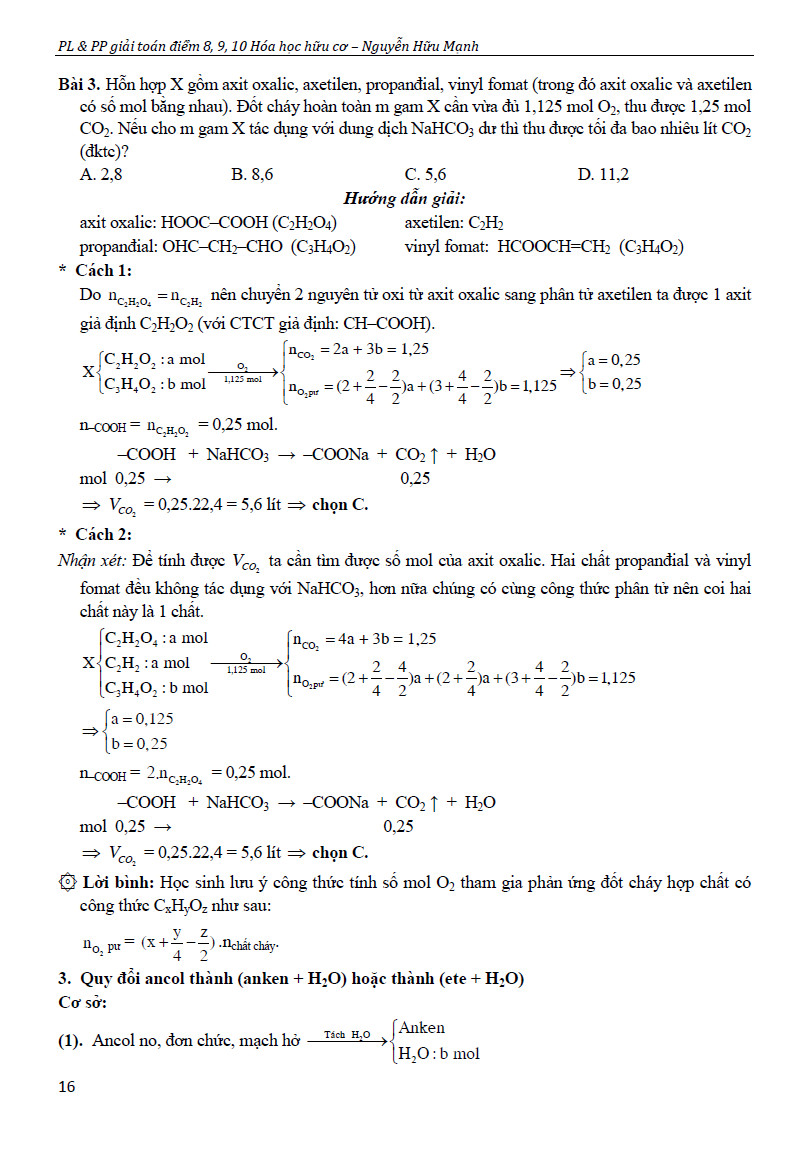
Xem trước
Zoom
Bìa trước
Mục lục
Trích đoạn 1
Trích đoạn 2
Trích đoạn 3
Trích đoạn 4
Trích đoạn 5
Trích đoạn 6
Trích đoạn 7
Trích đoạn 8
Trích đoạn 9
Trích đoạn 10
Trích đoạn 11
Trích đoạn 12
Trích đoạn 13
Trích đoạn 14
Trích đoạn 15
Trích đoạn 16
Trích đoạn 17
Trích đoạn 18
Trích đoạn 19
Bìa sau