Xem trước
Zoom
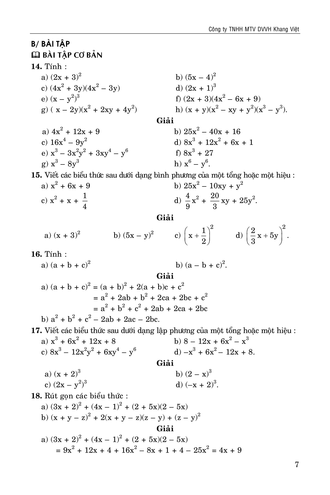
Chuyên đề bồi dưỡng học sinh giỏi Toán 8

Chuyên đề bồi dưỡng học sinh giỏi Toán 8

MSP : 545110

Tác giả: Nguyễn Đức Tấn

Giá bìa : 115.000 đ

Giá bán : 69.000 đ

Tiết kiệm : 46.000 đ

   Cho vào giỏ
Bìa trước
Trích đoạn 1
Trích đoạn 2
Trích đoạn 3
Trích đoạn 4
Trích đoạn 5
Trích đoạn 6
Trích đoạn 7
Trích đoạn 8
Trích đoạn 9
Trích đoạn 10
Sách cùng tác giả
100 Đề Kiểm Tra Toán 8
100 Đề Kiểm Tra Toán 8

MSP: 8935092552217

119.000 đ

71.400 đ

100 Đề Kiểm Tra Toán 2
100 Đề Kiểm Tra Toán 2

MSP: 8935092552637

75.000 đ

45.000 đ

100 Đề Kiểm Tra Toán 9
100 Đề Kiểm Tra Toán 9

MSP: 8935092545912

169.000 đ

101.400 đ

Nâng Cao Và Phát Triển Toán 5
Nâng Cao Và Phát Triển Toán 5

MSP: 8935092545608

70.000 đ

42.000 đ

Bồi Dưỡng Violympic Toán 9 Tập 2
Bồi Dưỡng Violympic Toán 9 Tập 2

MSP: 89350925450421

99.000 đ

59.400 đ