Xem trước
Zoom
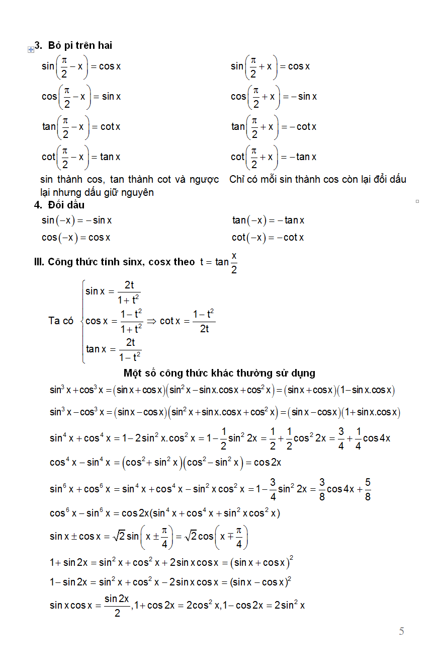
Phân Tích Tìm Tòi Hướng Giải Bằng Phương Pháp Suy Luận Chuyên Đề Đại Số Quyển 2 

Phân Tích Tìm Tòi Hướng Giải Bằng Phương Pháp Suy Luận Chuyên Đề Đại Số Quyển 2 

MSP : 8935092532608

Tác giả: Nguyễn Thành Long

Giá bìa : 199.000 đ

Giá bán : 119.400 đ

Tiết kiệm : 79.600 đ

   Cho vào giỏ
Bìa trước
Mục lục
Trích đoạn 1
Trích đoạn 2
Trích đoạn 3
Bìa sau
Sách cùng tác giả
Cẩm Nang Luyện Thi Đại Học Giải Tích Quyển 1
Cẩm Nang Luyện Thi Đại Học Giải Tích Quyển 1

MSP: 8935092527970

149.000 đ

89.400 đ