Xem trước
Zoom
Cẩm Nang Luyện Thi Đại Học Giải Tích Quyển 1

Cẩm Nang Luyện Thi Đại Học Giải Tích Quyển 1

MSP : 8935092527970

Tác giả: Nguyễn Thành Long

Giá bìa : 149.000 đ

Giá bán : 89.400 đ

Tiết kiệm : 59.600 đ

   Cho vào giỏ
Bìa trước
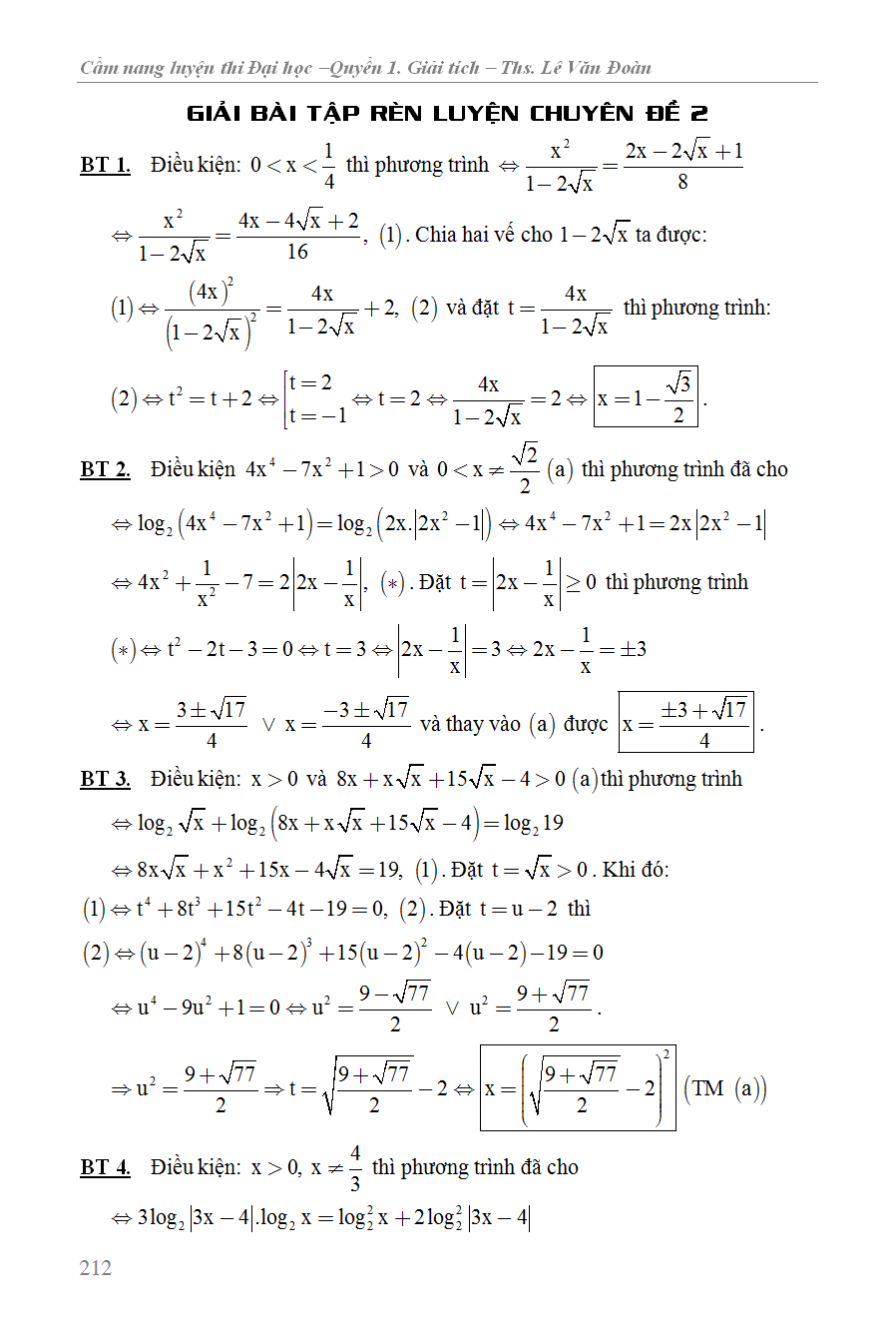
Mục lục
Trích đoạn 1
Trích đoạn 2
Trích đoạn 3
Trích đoạn 4
Trích đoạn 5
Bìa sau