Xem trước
Zoom
CHUYÊN ĐỀ BỒI DƯỠNG HỌC SINH KHÁ, GIỎI TOÁN THCS PHẦN ĐẠI SỐ

CHUYÊN ĐỀ BỒI DƯỠNG HỌC SINH KHÁ, GIỎI TOÁN THCS PHẦN ĐẠI SỐ

MSP : 556248

Tác giả: Nguyễn Đức Tấn

Giá bìa : 107.000 đ

Giá bán : 64.200 đ

Tiết kiệm : 42.800 đ

   Cho vào giỏ
Bìa trước
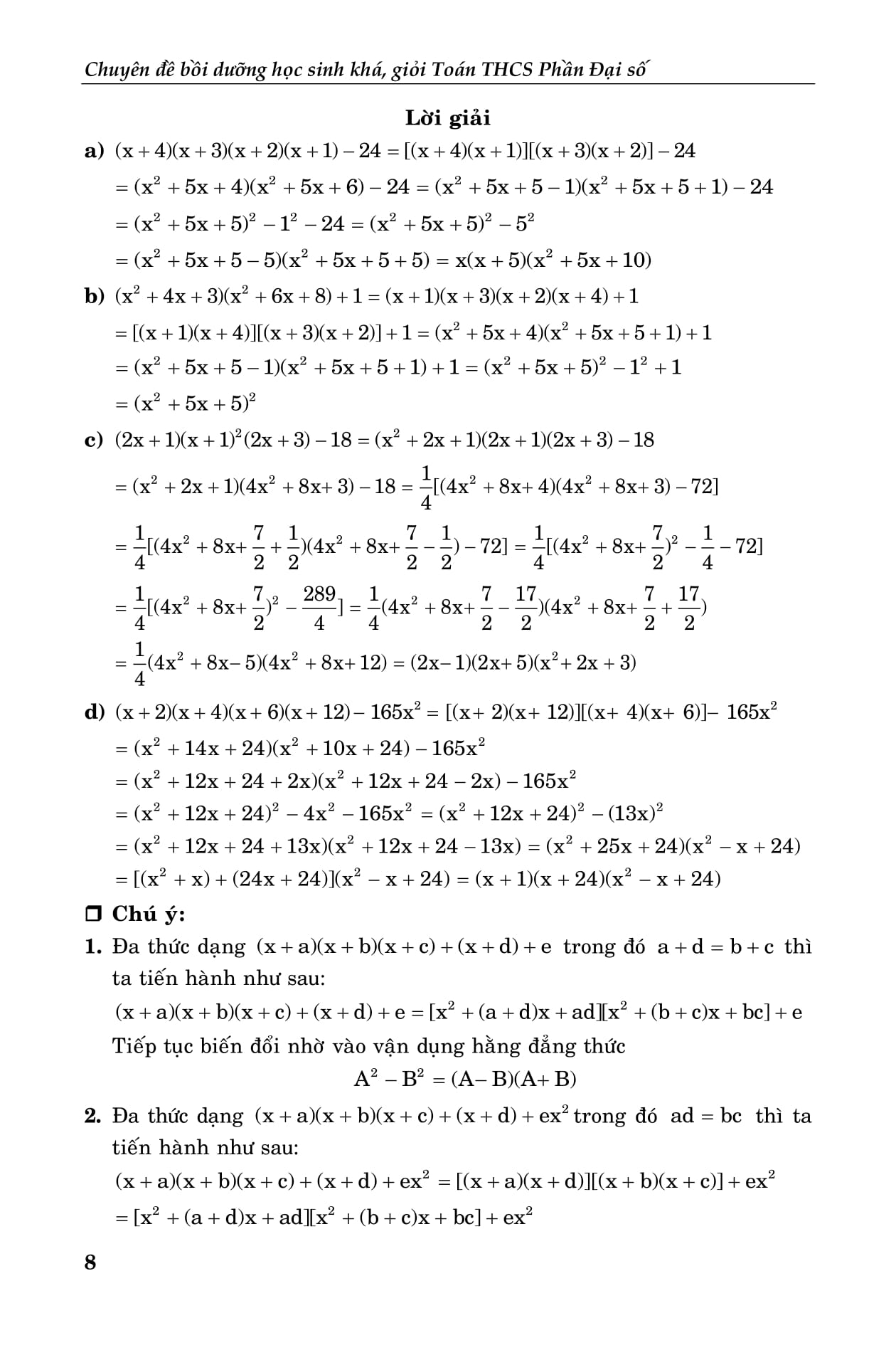
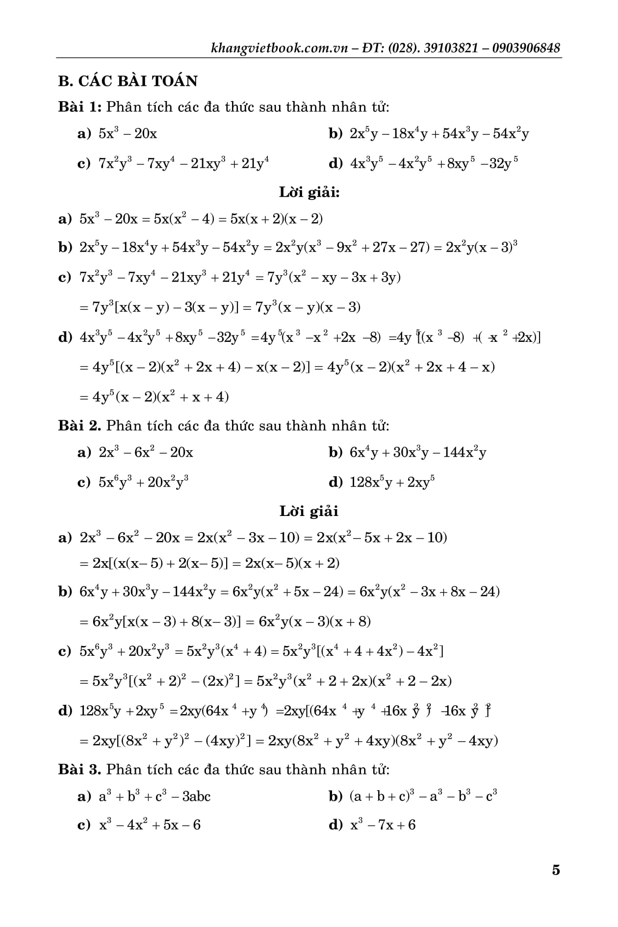
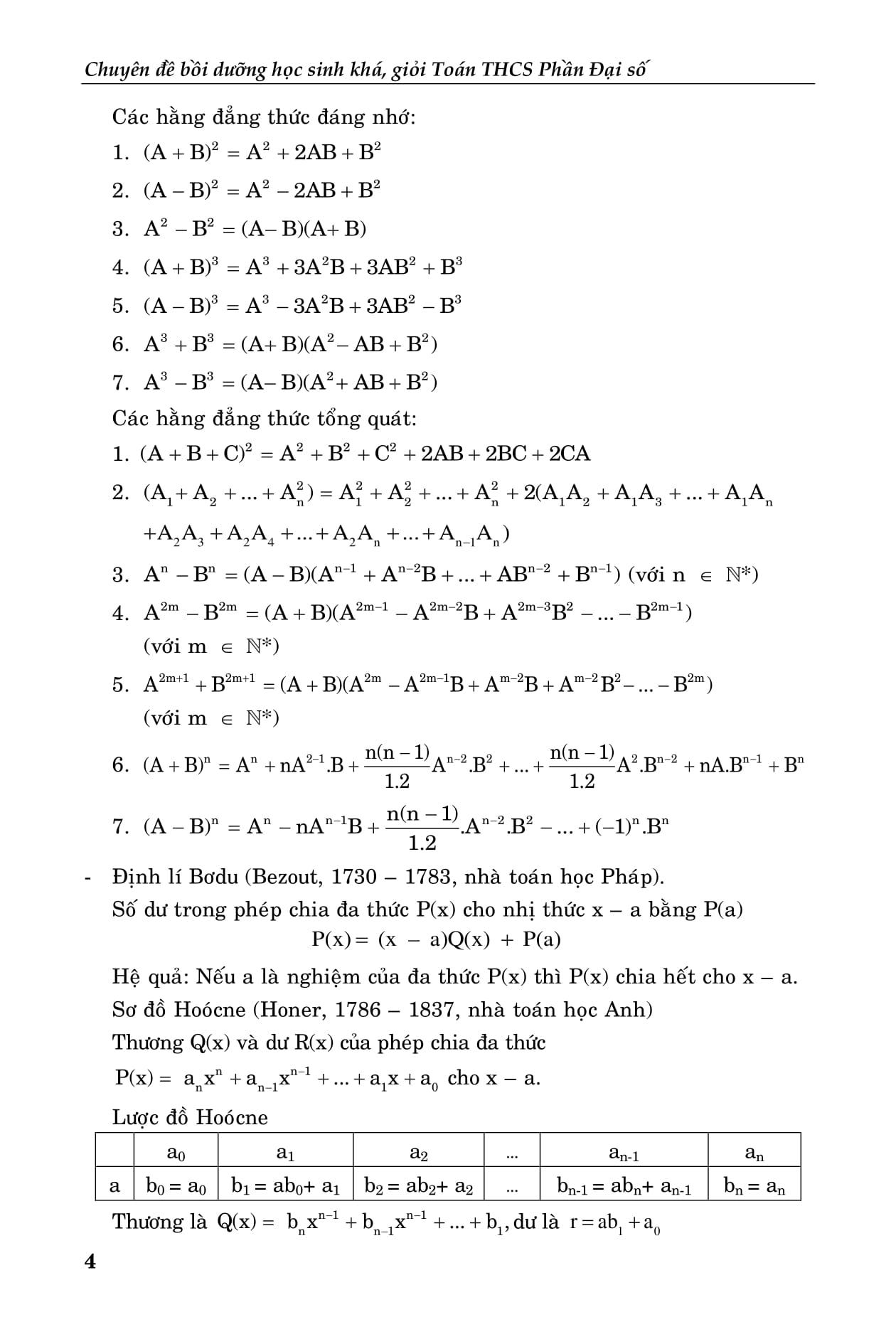
Trích đoạn 1
Trích đoạn 2
Trích đoạn 3
Trích đoạn 4
Trích đoạn 5
Trích đoạn 6
Trích đoạn 7
Trích đoạn 8
Sách cùng tác giả
NÂNG CAO VÀ PHÁT TRIỂN TOÁN 1
NÂNG CAO VÀ PHÁT TRIỂN TOÁN 1

MSP: 557700

134.000 đ

80.400 đ

VỞ Ô LI BÀI TẬP TOÁN LỚP 1 QUYỂN 2
VỞ Ô LI BÀI TẬP TOÁN LỚP 1 QUYỂN 2

MSP: 035554

34.000 đ

30.600 đ

VỞ Ô LI BÀI TẬP TOÁN LỚP 1 QUYỂN 1
VỞ Ô LI BÀI TẬP TOÁN LỚP 1 QUYỂN 1

MSP: 035538

34.000 đ

30.600 đ

ĐỂ HỌC GIỎI TOÁN 1
ĐỂ HỌC GIỎI TOÁN 1

MSP: 557649

68.000 đ

40.800 đ

BỒI DƯỠNG TOÁN HAY VÀ KHÓ 1
BỒI DƯỠNG TOÁN HAY VÀ KHÓ 1

MSP: 557625

126.000 đ

75.600 đ

100 ĐỀ KIỂM TRA TOÁN LỚP 1
100 ĐỀ KIỂM TRA TOÁN LỚP 1

MSP: 557434

134.000 đ

80.400 đ