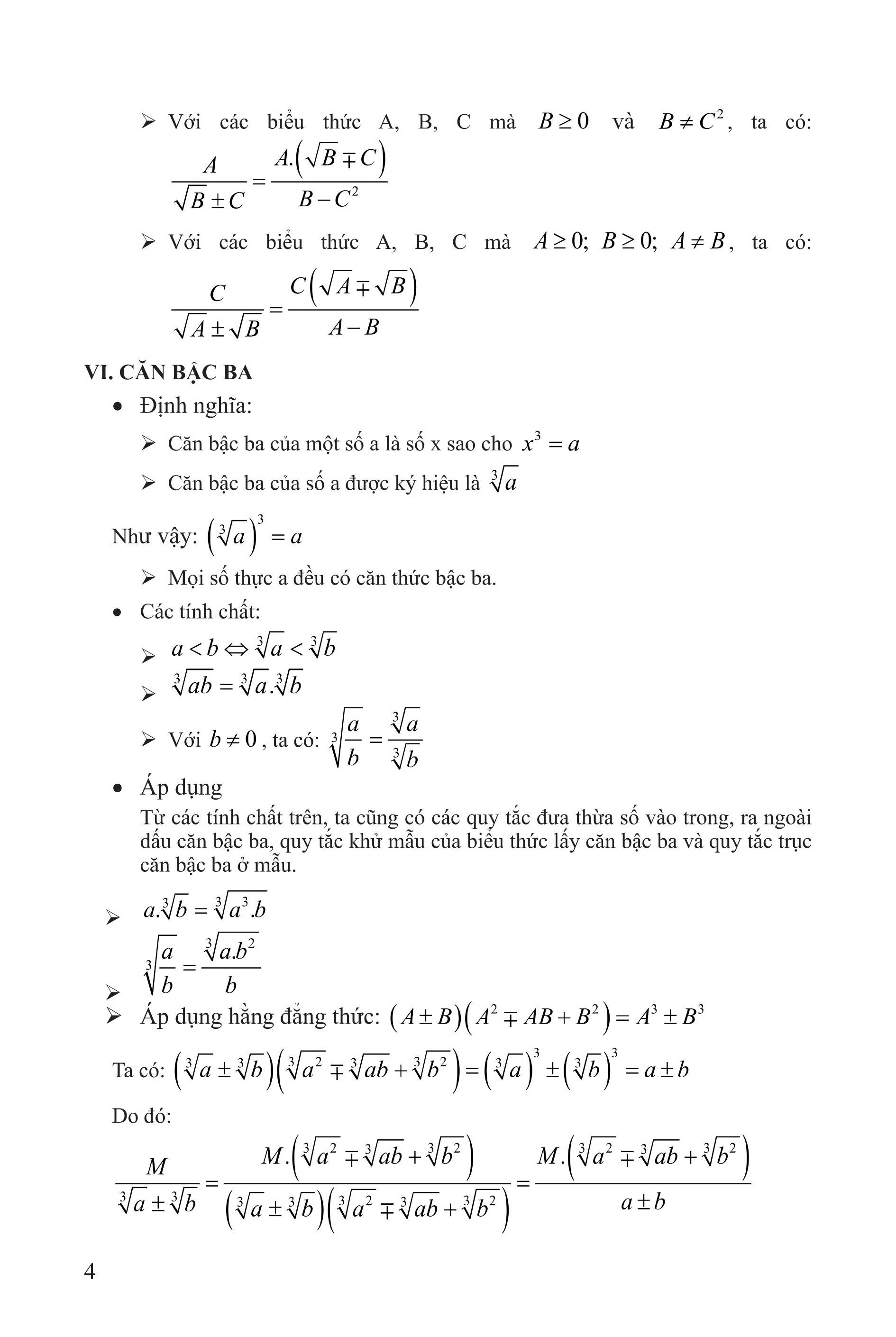
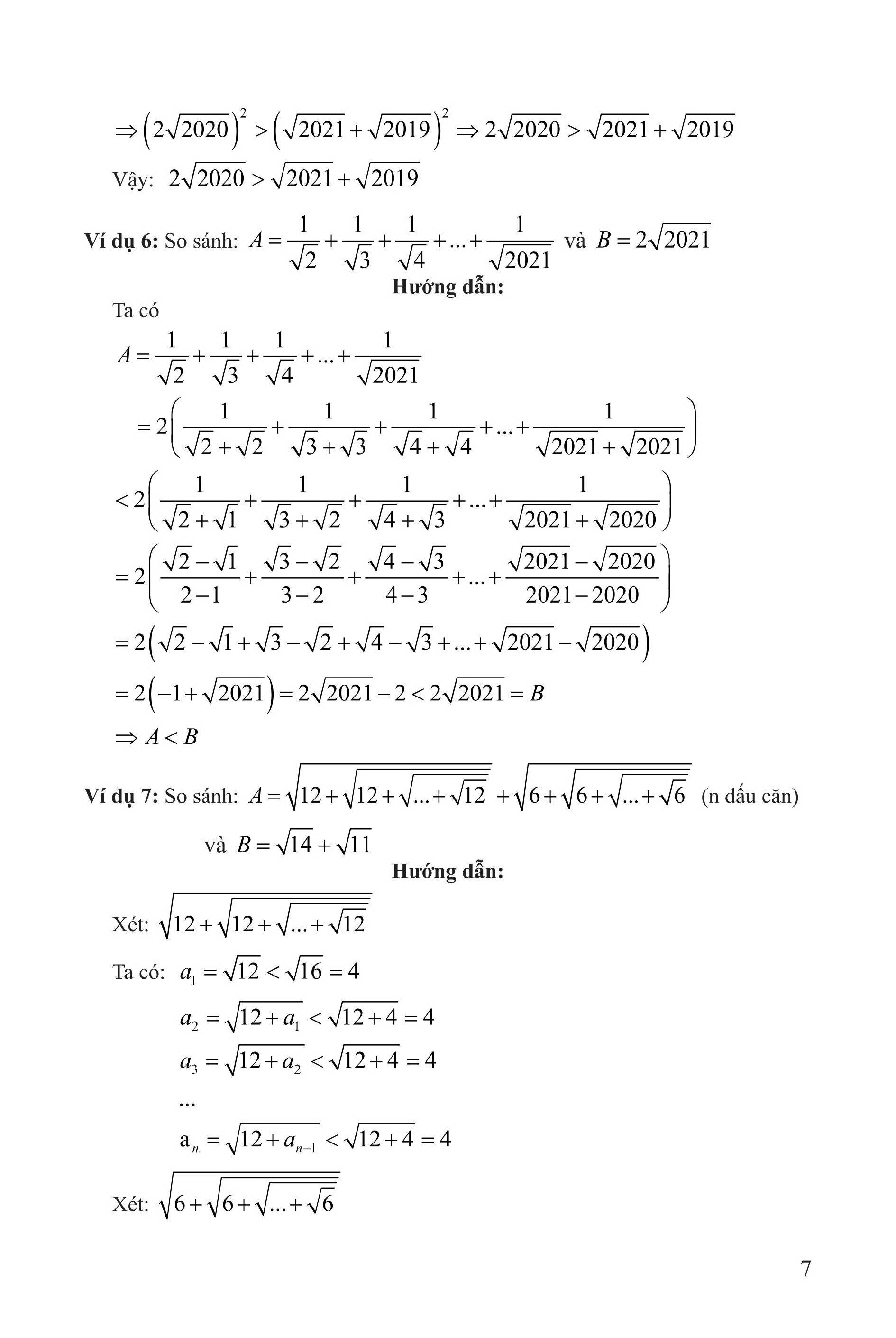
Xem trước
Zoom
BỘ ĐỀ KIỂM TRA THEO HƯỚNG THỰC TẾ, TÍCH HỢP MÔN TOÁN 9

BỘ ĐỀ KIỂM TRA THEO HƯỚNG THỰC TẾ, TÍCH HỢP MÔN TOÁN 9

MSP : 035707

Tác giả: Phạm Tưởng

Giá bìa : 168.000 đ

Giá bán : 100.800 đ

Tiết kiệm : 67.200 đ

   Cho vào giỏ
Bìa trước
Trích đoạn 1
Trích đoạn 2
Trích đoạn 3
Trích đoạn 4
Trích đoạn 5
Trích đoạn 6