Xem trước
Zoom
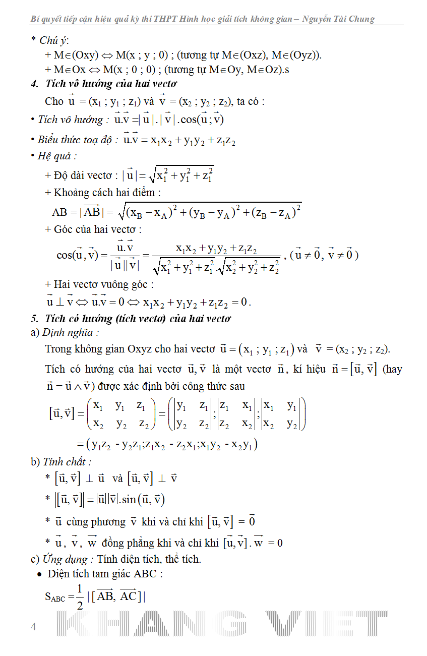
Bí Quyết Tiếp Cận Hiệu Quả Kỳ Thi THPT Quốc Gia Hình Học Giải Tích Không Gian

Bí Quyết Tiếp Cận Hiệu Quả Kỳ Thi THPT Quốc Gia Hình Học Giải Tích Không Gian

MSP : 8935092530994

Tác giả: Nguyễn Tài Chung

Giá bìa : 144.000 đ

Giá bán : 86.400 đ

Tiết kiệm : 57.600 đ

   Cho vào giỏ
Bìa trước
Mục lục
Trích đoạn 1
Trích đoạn 2
Trích đoạn 3
Trích đoạn 4
Trích đoạn 5
Trích đoạn 6
Trích đoạn 7
Bìa sau
Sách cùng tác giả
Bồi Dưỡng Học Sinh Giỏi Phương Trình Hàm
Bồi Dưỡng Học Sinh Giỏi Phương Trình Hàm

MSP: 8935092526140

134.000 đ

80.400 đ