Xem trước
Zoom
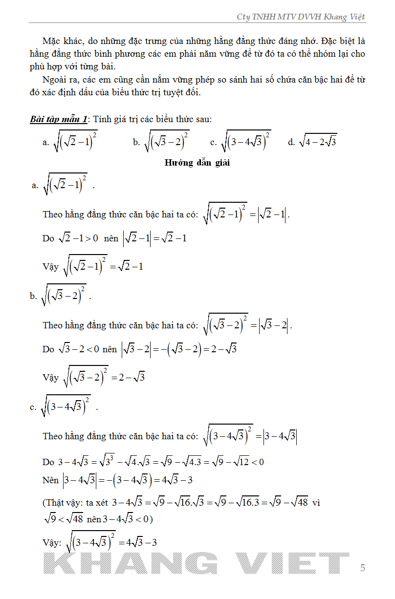
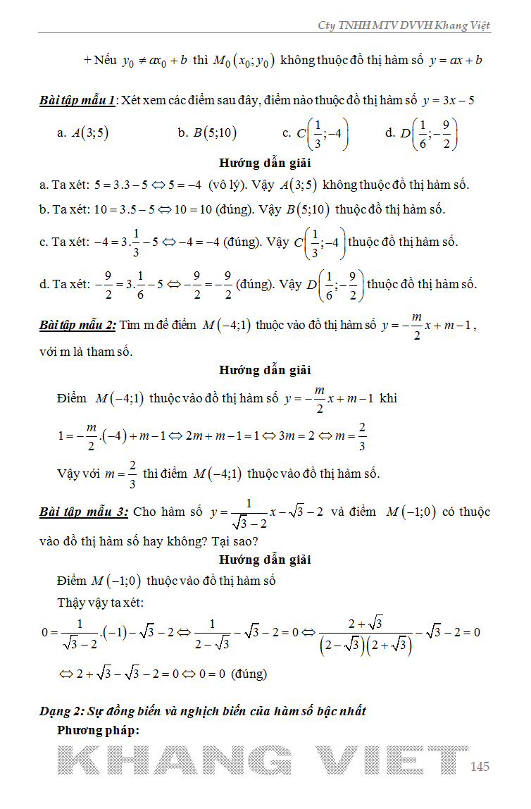
Bài Toán Qua Các Kì Thi Học Sinh Giỏi Và Luyện Vào Các Lớp 10 Chuyên Đại Số 9 Tập 1

Bài Toán Qua Các Kì Thi Học Sinh Giỏi Và Luyện Vào Các Lớp 10 Chuyên Đại Số 9 Tập 1

MSP : 8935092535470

Tác giả: Nguyễn Quốc Tuấn

Giá bìa : 80.000 đ

Giá bán : 48.000 đ

Tiết kiệm : 32.000 đ

   Cho vào giỏ
Bìa trước
Mục lục
Trích đoạn 1
Trích đoạn 2
Trích đoạn 3
Trích đoạn 4
Trích đoạn 5
Trích đoạn 6
Bìa sau