Xem trước
Zoom
Khám Phá Tư Duy Giải Nhanh Thần Tốc Bộ Đề Luyện Thi Quốc Gia Môn Toán

Khám Phá Tư Duy Giải Nhanh Thần Tốc Bộ Đề Luyện Thi Quốc Gia Môn Toán

MSP : 8935092533216

Tác giả: Nguyễn Quang Sơn

Giá bìa : 134.000 đ

Giá bán : 80.400 đ

Tiết kiệm : 53.600 đ

Nhận thông báo khi có hàng
Bìa trước
Mục lục
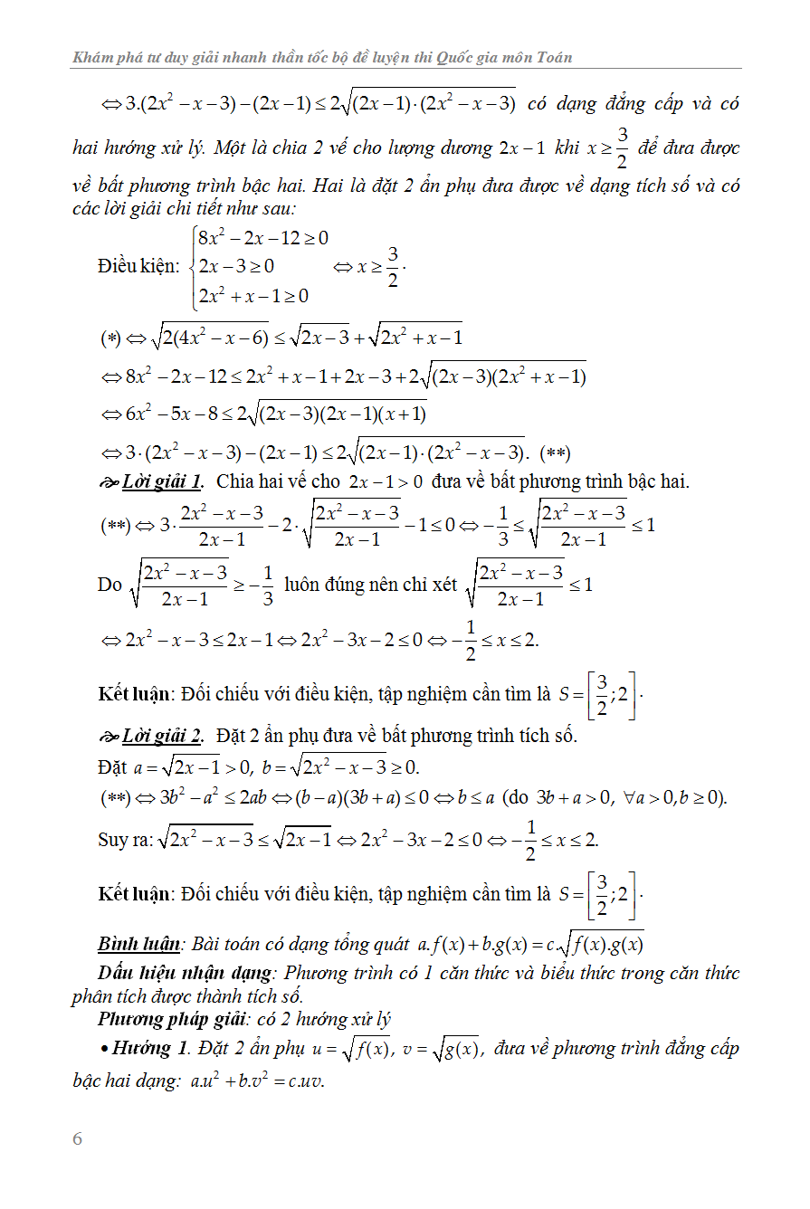
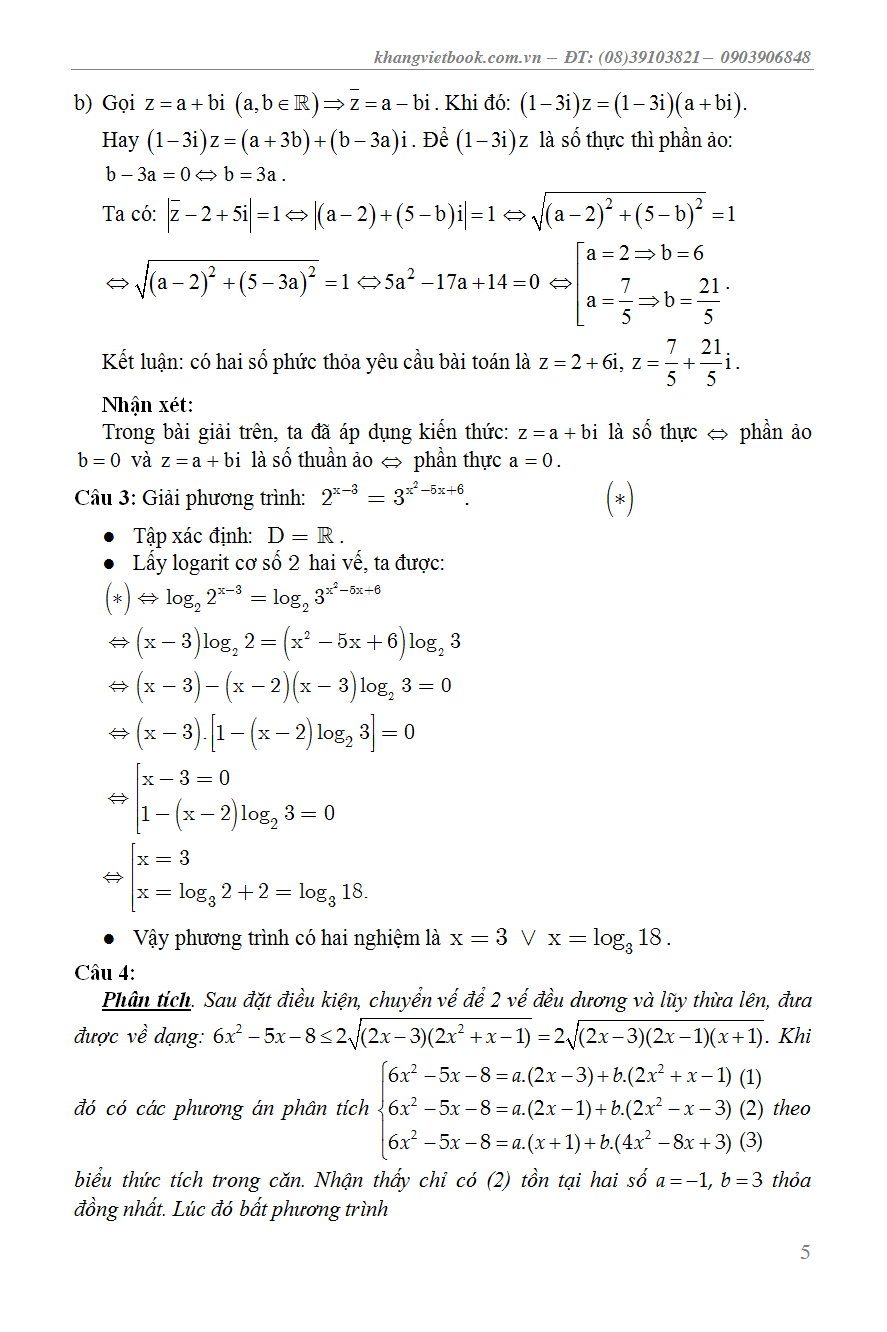
Trích đoạn 1
Trích đoạn 2
Trích đoạn 3
Trích đoạn 4
Bìa sau